Mathify - Math Editor
다운로드수 1,143-
0 (0명)
| 분류 | 교육 |
|---|---|
| 버전 | 3.8 |
| 연령 | 3세 이상 |
| 업데이트 | 2020. 1. 3. |
| 금주 다운수 | 0 |
| 누적 다운수 | 1,143 |
| 개발사 | Hakob Grigoryan |
| 다운로드 | |
|
!소프트웨어 사용범위 위반 시
법적 책임을 질 수 있습니다. |
|
상세정보
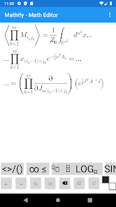
Mathify is a WYSIWYG math editor Currently it is useful for creating formulas copy LaTeX into clipboard sharing as jpg or png images and also calculate results in WolframAlpha It has limitation of 2 times usage of each of the operation per day You have to subscribe to PRO version for unlimited usage
PLEASE NOTE
Copy image to clipboard functionality works only on a newer android devices and versions if it won39t work for you then export image and import into Google docs or MS Word manually
For greek symbols include greek in your native keyboard
To select formula longpress on a formula or text
To activate zoom using pinch gestures tap with two fingers then start to zoom To deactivate zoom mode tap with single finger
For power or index superscript subscript use 3939 underscore for sub and 3939 for super scripts
For Big Operators integrals sum product choose type of limits and to add limits press 3939 underscore for lower limit and 3939 for upper limit
Do not use Mathify as full text editor instead create short math formulas export them as image and import into Word or Google docs or any other text editor
리뷰
- 소프트쉐어 신규 소프트웨어 추가 안내 2025.01.17
- 소프트쉐어 서비스 이용 가이드 업데이트 안내 2025.01.17
- 소프트쉐어 웹사이트 리뉴얼 안내 2025.01.17















